Thông tin từ Phòng CSGT Công an TP Hà Nội cho biết, tính từ ngày 1 đến 10/10, thông qua hệ thống camera giám sát giao thông, đơn vị đã phát hiện, ghi nhận 41 trường hợp ô tô, xe máy vi phạm và tiến hành phạt nguội.
Theo cảnh sát, chủ phương tiện, người điều khiển phương tiện vi phạm có thể tra cứu thông tin phạt nguội trên trang thông tin điện tử của Cục CSGT (Bộ Công an) tại địa chỉ www.csgt.vn.
Ngoài ra, người vi phạm có thể liên hệ trực tiếp tới Đội Chỉ huy giao thông và điều khiển đèn tín hiệu giao thông (Phòng CSGT Hà Nội), số 54 Trần Hưng Đạo, phường Cửa Nam, TP Hà Nội, điện thoại: 0692.196.440 để được hướng dẫn, giải quyết.
Theo nhà chức trách, với người dân cư trú trên địa bàn Hà Nội có thể đến trụ sở 14 Đội CSGT địa bàn của Phòng CSGT Hà Nội để giải quyết vụ việc vi phạm hành chính.
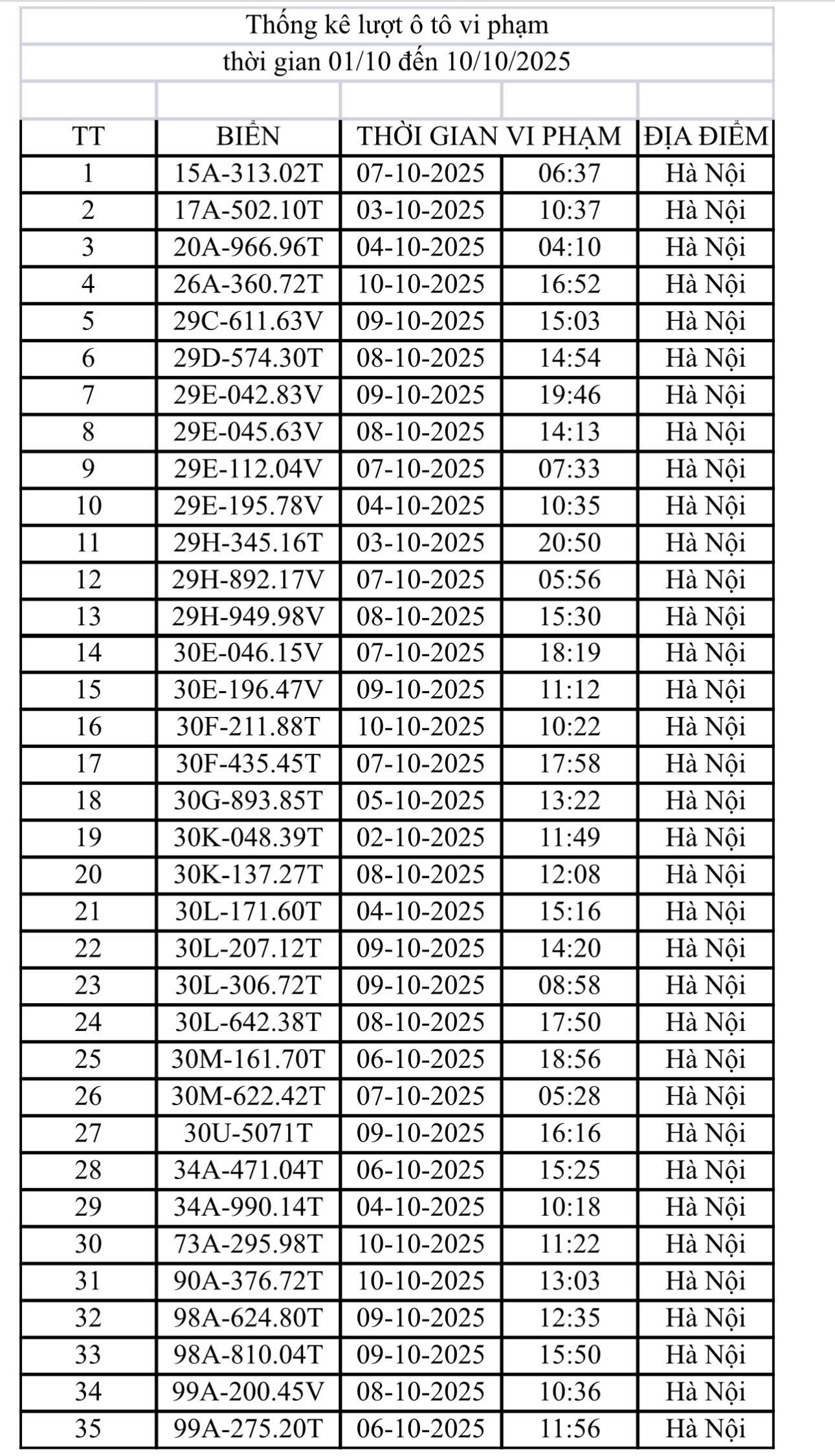
Danh sách ô tô vi phạm:
Danh sách 35 ô tô vi phạm bị phạt nguội. Ảnh: Phòng CSGT CAHN
Danh sách xe máy vi phạm:
Danh sách 6 xe máy vi phạm bị phạt nguội. Ảnh: Phòng CSGT CAHN
